La principal tendencia de apoyo a las protestas de Cuba de julio de 2021 fue impulsada por simpatizantes —no bots— dentro y fuera de la isla. Analizamos en profundidad su difusión, participación y anomalías
Resumen
#SOSCuba fue la principal tendencia impulsada desde la isla de Cuba durante los días 10 y 11 de julio de 2021. La protesta digital en Twitter, con el uso de esta etiqueta, acompañó a una serie de eventos que se realizaron durante varios días, que incluyeron marchas y manifestaciones en distintas ciudades del país y del exterior, además de cortes de internet que impidieron el intercambio de información entre cubanos.
Algunos medios de comunicación internacionales, calificaron de forma errónea a la protesta digital impulsada durante esos días con el uso de #SOSCuba, como una tendencia manipulada,con presencia de «miles de cuentas bots» recién creadas o cuentas operadas desde el exterior —especialmente desde Estados Unidos—, que amplificaron artificialmente la tendencia, mediante una operación de astroturfing.
El presente estudio, realizado a una base de datos de 1.048.576 tweets publicados entre el 10 y el 12 de julio de 2021, demuestra que, si bien en la etiqueta #SOSCuba participaron algunas cuentas anómalas (bots, redes de bots y cuentas cyborgs) y hubo generación de spam, la tendencia se impulsó principalmente de forma orgánica, siendo impulsada desde principios del mes de julio por ciudadanos cubanos en la isla, que fueron apoyados a partir del día 11 de julio por tuiteros de varios países de toda América y Europa.
La tendencia estudiada estuvo compuesta por gran cantidad de conversaciones y fue impulsada por una diversas comunidades digitales en Twitter. No fue una tendencia artificial coordinada ni impulsada por un único conjunto de cuentas relacionadas. La explosiva cantidad de tweets generados durante el día 11 de julio, se debe entre otras razones a la difusión de imágenes y videos de las manifestaciones y también al repentino corte de internet en la isla, que generó un masivo apoyo internacional, usando la etiqueta #SOSCuba, a la población cubana que en ese momento se encontraba manifestando en la calle.
Aunque en el presente estudio se detectaron algunas cuentas falsas, bots y generación de spam (mensajes «basura»), publicados con el objetivo de aumentar artificialmente la cantidad de tweets de la tendencia, el aporte relativo en cantidad de tweets generados con estos métodos fue insignificante, comparando cuantitativamente con el aporte orgánico, real, recibido desde cuentas con operadores humanos que no generaron spam.
De igual manera, aunque se detectó la difusión de algunas unidades de información errónea en Twitter en relación a las protestas del día 11 de julio, la gran mayoría de las fotos y videos que fueron difundidos en la red social se correspondían con los eventos que sí estaban ocurriendo en la isla. La difusión de estos testimonios multimedia fue tan masiva, que pudo motivar a las interrupciones al servicio de internet que afectó a los ciudadanos cubanos durante durante ese día.
Por último, no se hallaron evidencias de que la información errónea difundida en Twitter haya sido publicada de forma coordinada y aunque se desconoce el orígen de algunas imágenes con información errónea y si comenzaron a circular por error (misinformation) o con la intención de generar daño (disinformation), su difusión entre redes sociales y su llegada a Twitter, parece haber sido espontánea.
Capítulo 1. Crónica de una protesta digital
#SOSCuba es una tendencia impulsada desde la isla de Cuba, relacionada con la serie de marchas, reclamos y exigencias populares que acontecieron en Cuba en julio de 2021. Comenzó a ser usada en este contexto desde principio de mes, de forma espontánea, como un ejercicio de protesta digital y en medio de un repunte en el número de contagios y fallecidos por COVID-19 en la isla:
El día 11 de julio, en la isla se efectuaron manifestaciones que buscaban visibilizar las demandas ante la aguda crisis por los efectos de la pandemia. En redes sociales se reflejaron las protestas y trascendieron el plano nacional cubano. Entre los días 10 y 11 de julio, la etiqueta #SOSCuba alcanzó el puesto número 1 de tendencias en Argentina, México, Colombia, Perú, Ecuador y República Dominicana; el 2 en Chile, el 3 en Venezuela y el 4to. lugar en los «trending topics» de España, según datos de GetDayTrends.com.
La base de datos usada en el presente análisis, fue descargada el 12 de julio de 2021, a las 9:00 pm hora Cuba. Está conformada por un total de 1.048.576 tweets capturados mediante la metodología T-hoarder_kit y publicados en la red social durante 33 horas, entre las 2:00 pm del 10 de julio y las 9:00 pm del 12 de julio, hora Cuba. Todos los análisis fueron realizados con el uso del software de libre acceso Tableau Public.
Es una base de datos representativa de la conversación en Twitter sobre los acontecimientos que ocurrieron en Cuba durante esos días. La base de datos excluye tweets que no contienen la etiqueta y a un mínimo de tweets que incluyeron la etiqueta, pero que fueron invisibilizados o eliminados por el sistema de moderación de la red social, antes de la descarga de la base de datos.
Del total de tweets estudiados, 83,68% fueron retweets, 8,55% fueron respuestas, 4,84% fueron tweets «puros» y 2,83% fueron citas.
El siguiente es un grafo que representa la conversación generada en Twitter, con la etiqueta #SOSCuba, durante esos días. Es una red de menciones (tweets, retweets, citas y respuestas) de interacciones entre pares de cuentas. Cada círculo es una cuenta de Twitter y cada línea, uniendo pares de puntos, es un tweet, un retweet, una cita o una respuesta. En el grafo solo se muestran los siete grupos con mayor influencia:

El grafo puede ser descargado en alta resolución haciendo click aquí.
La tendencia estudiada está compuesta por gran cantidad de conversaciones y fue impulsada por múltiples grupos de cuentas afines, apoyando las protestas en Cuba. Aunque en la representación de la red de menciones se presentan solamente los siete grupos, el reporte de modularidad realizado en Gephi generó 876 clases distintas, lo que indica la presencia de gran cantidad de grupos usando la etiqueta y que no fue una tendencia impulsada de forma artificial por un limitado grupo de cuentas asociadas.
La tendencia estudiada está compuesta por gran cantidad de conversaciones y fue impulsada por múltiples grupos de cuentas afines, apoyando las protestas en Cuba
El siguiente es un histograma de la cantidad de tweets publicados durante el período estudiado. Los colores de las barras se corresponden con los colores de los principales grupos (o clústers) del gráfo anterior.
El día 10 de julio de 2021, la etiqueta #SOSCuba fue promovida principalmente por tuiteros cubanos y sus comunidades, que venían usándola desde principios de mes. El día siguiente, la cantidad de tweets generados por activistas cubanos disminuye y aumentan los tweets generados por defensores de derechos humanos, periodistas, bloggers y artistas cubanos, principalmente en el exilio, y por artistas y usuarios de otros países como Argentina, Chile y México que apoyaron la tendencia:

Es interesante resaltar que el día 11 de julio, diversas fuentes reportaron el corte de internet en la isla, una posible respuesta del régimen cubano al intercambio de información, fotos y videos a través de redes sociales y mediante el uso de las etiquetas #SOSCuba y #PatriaYVida:
El corte al servicio de internet en Cuba, junto a la difusión de videos de protestas en la isla, sirvieron como catalizadores del apoyo internacional que recibió la etiqueta #SOSCuba durante el 11 de julio de 2021
Tal como se puede demostrar con evidencias forenses digitales, los videos que circularon durante el día 10 y antes de la noche de las 7:00 pm del 11 de julio, al menos en la red social Twitter, no eran «fake news«, videos engañosos, ni estaban descontextualizados: fueron videos reales y recientes de ciudadanos cubanos protestando en las calles, en varias ciudades de la isla.
El corte al servicio de internet en Cuba, junto a la difusión de videos de protestas en la isla, sirvieron como catalizadores del apoyo internacional que recibió la etiqueta #SOSCuba durante el 11 de julio de 2021. Esos videos fueron los que llamaron la atención de la comunidad internacional, que amplificaron su alcance, luego del inicio de las restricciones al internet en la isla, iniciadas alrededor de las 3:00 pm (aunque algunas fuentes reportaron cortes del servicio desde las 2:00 pm, hora Cuba).
Capítulo 2. ¿#SOSCuba fue una tendencia manipulada?
Glosario de términos: haz click aquí para ver definiciones de spam, astroturfing y algunos tipos de cuentas falsas: bots, cyborgs, trolls.
Spam: es la generación de contenido no deseado, "basura". En redes sociales, el "spam" suele ser usado para aumentar con mayor facilidad la cantidad de tweets generados en una tendencia. Twitter tiene políticas y mecanismos de detección y bloqueo de cuentas que abusan del spam, que considera un método de manipulación de su plataforma.
Astroturfing: es el uso de cuentas falsas, que emulan personas reales, para impulsar algún tipo de información en redes: tendencias, algún texto, un producto comercial, fotos o videos. Es un tipo de campaña coordinada no auténtica, que Twitter considera manipulación de plataforma.
Bots: son cuentas automatizadas, que generan gran cantidad de tweets sobre un tema en específico, sin que exista un operador humano detrás de ellas de forma permanente. En Cazadores de Fake News, consideramos que una cuenta es bot cuando cumple con algunos de estos criterios y podemos comprobar que está automatizada. Ejemplo.
Cyborgs: son cuentas que tienen características similares a bots, especialmente por su producción de spam, pero que no parecen estar o no están automatizadas. En Venezuela tenemos una gran red de cuentas cyborg que amplifican propaganda mediante spam, operadas por usuarios humanos: la red Tuiteros de La Patria.
Trolls: son cuentas falsas, operadas por personas, con el fin de atacar, vilipendiar, desprestigiar, manipular, generar noticias falsas o engañar a otros usuarios, adoptando una personalidad particular, más depurada que una cuenta bot. En Venezuela tenemos varios ejemplos.
Pregunta 1: ¿La tendencia fue impulsada por cientos de cuentas bots recién creadas?
Esta afirmación NO es cierta. Si bien se detectó gran cantidad de cuentas creadas en días recientes al periodo estudiado, no todas son cuentas que pueden ser clasificadas como «bots» y, de serlo, la cantidad de tweets publicados en conjunto fue muy pequeño en comparación al total de tweets generados.
Al realizar un análisis de las fechas de creación de las cuentas que participaron en la tendencia #SOSCuba se observó una posible anomalía: entre el 10 y el 11 de julio de 2021 se crearon más de 1450 cuentas. Cuando se generan cuentas falsas para campañas de astroturfing, es usual que se creen en grandes cantidades, a lo largo de días y horas cercanos. Pero hallar cuentas múltiples creadas el mismo dia no es una razón que implique necesariamente que sean cuentas cuentas falsas, bots o trolls que participan en operaciones de manipulación de plataforma.

Las cuentas creadas el 10 y 11 de julio de 2021 (1471 cuentas) representan apenas 0,85% de las 172.662 cuentas de Twitter que participaron en los tweets de la muestra descargada. Con respecto a los tweets que impulsaron en conjunto esas cuentas recién creadas, fueron 10.804 tweets, apenas 1,5% de los analizados con la etiqueta #SOSCuba.
De igual forma, se pudo constatar que las cuentas creadas en mayo y junio de 2021, generaron un total de 51.640 tweets, un 4,9% del total de 1.048.576 tweets estudiados, cantidad insuficiente para juzgar a las cuentas recientemente creadas como las responsables de la llegada de #SOSCuba a los trending topics internacionales.
Lo anterior demuestra que, suponiendo que la totalidad de las cuentas creadas creadas en días cercanos al 10 y 11 de julio fueran cuentas falsas o «bots«, su aporte al total de tweets publicados con la etiqueta #SOSCuba, fue insuficiente para generar por sí solas el impacto internacional que obtuvo.
Pero en la práctica, la creación masiva de cuentas durante eventos de gran importancia para un país, no implica que sean cuentas falsas; es usual ver la creación de gran cantidad de cuentas de Twitter durante eventos como los acontecidos en julio de 2021 en Cuba, ya que es incentivada por el acceso inmediato que tienen los nuevos usuarios a la información compartida en la red social.
Suponiendo que la totalidad de las cuentas creadas en días cercanos al 10 y 11 de julio fueran cuentas falsas o «bots«, su aporte al total de tweets publicados con la etiqueta #SOSCuba, fue insuficiente para generar por sí solas el impacto internacional que obtuvo
Pregunta 2: ¿La tendencia fue posicionada gracias a la generación de grandes cantidades de spam?
Si bien en la etiqueta #SOSCuba participaron alrededor de un centenar de cuentas que generaron grandes cantidades de spam, el aporte en tweets generado por ellas fue muy pequeño con respecto a la totalidad de tweets que fueron publicados.
Para evaluar la cantidad de cuentas de la muestra que generaron spam, consideramos el criterio propuesto en un artículo publicado por el Laboratorio Forense Digital del Atlantic Council (DFRLab) en 2016: un mínimo de 144 tweets diarios para una cuenta «altamente sospechosa«. Considerando que los tweets descargados abarcan un periodo de 33 horas, identificamos a 93 cuentas que durante este periodo publicaron el equivalente a 144 tweets en 24 horas, es decir, más de 200 tweets durante 33 horas

Todas estas cuentas, en sumatoria, generaron 27.442 tweets en la muestra estudiada, un 2,66% del total de 1.048.576 de tweets descargados. Es una cantidad de que tweets que por sí sola hubiese sido incapaz de impulsar la tendencia a los niveles de popularidad internacional que alcanzó. Sin embargo, para un país como Cuba, una cantidad de 27.000 tweets podría posicionar a cualquier tendencia, en el tope de los trending topics, al menos durante un par de horas.
Pero no todas las cuentas que generaron grandes cantidades de tweets tienen características de cuentas bot, aunque varias de ellas poseen aspectos que claramente nos permiten identificarlas como tal.
Las siguientes son diagramas de publicación de tweets, de las cuentas que publicaron más spam, obtenidos con la aplicación Allegedly:

Si bien en la etiqueta #SOSCuba participaron alrededor de un centenar de cuentas que generaron grandes cantidades de spam, el aporte en tweets generado por ellas fue muy pequeño con respecto a la totalidad de tweets que fueron publicados
- @RRetuiter, la cuenta que publicó la mayor cantidad de tweets en el periodo estudiado (1003, en nuestra base de datos), es claramente una cuenta bot, automatizada, con un patrón de publicación de 24 horas, sin interrupción. El 99,9% de sus tweets son publicados mediante una aplicación llamada TwitterCubaRT, generando principalmente retweets, que conforman más del 99,5% de los tweets publicados.
- @Vdevend89158691, la cuenta que publicó la segunda mayor cantidad de tweets, fue eliminada o dada de baja por Twitter, presumiblemente por violación de sus políticas en contra del spam.
El resto de las cuentas altamente productoras de spam tienen características similares a bot, aunque bien podrían ser cuentas no automatizadas, manejadas con operadores humanos. Se identificó a un centenar de cuentas generando spam, con comportamiento similar a las cuentas cyborg (similares a bot, operadas por humanos) de la red de spam de propaganda del régimen venezolano, los Tuiteros de La Patria. Sin embargo, la cantidad de cuentas con estas características que participaron en #SOSCuba, fueron mucho menos: apenas 93. A principios de 2021, la red Tuiteros de La Patria contaba con entre 2000 y 2500 cuentas diferentes generando más de 300 tuits/día.
Por ejemplo, la cuenta @SamsaBea publicó tweets con 51.9% de textos repetidos. Muchos de sus tweets contienen exclusivamente trenes de etiquetas, como por ejemplo «SOSCuba #AbajoLaDictaduraCastrista #AbajoElComunismo #VivaCubaLibre #QueremosLibertad #DiazCanelAsesino«, que pueden ser copiados y pegados de forma consecutiva en múltiples tweets. El 11 de julio publicó 243 tweets, una cantidad inferior al límite de 300 tweets con el que bloquea a las cuentas cyborg de la red Tuiteros de La Patria de Venezuela, a razón diaria. Por ello, esta cuenta y otras similares podrían perfectamente ser operadas por usuarios humanos, generando spam a alta velocidad con el objetivo de aumentar la cantidad de tweets con la etiqueta.
Pregunta 3: ¿La tendencia fue impulsada por cuentas operando desde Estados Unidos?
Si bien muchas de las cuentas que impulsaron la etiqueta participaron desde países diferentes a Cuba, quienes intervinieron en su mayoría fueron cuentas con Cuba o alguna ciudad cubana como ubicación, al menos según la información declarada en sus respectivos perfiles de Twitter.
La siguiente es una distribución de la cantidad de tweets publicados de acuerdo a la ubicación declarada en cada perfil. Cuba fue el país desde el cual se generó la mayor cantidad de tweets, seguido por Argentina, Estados Unidos, Venezuela, España y Chile:

Cuba fue el país desde el cual se generó la mayor cantidad de tweets, seguido por Argentina, Estados Unidos, Venezuela, España y Chile
Sin embargo, esta gráfica excluye a más de la mitad de los tweets generados en la base de datos, publicados por cuentas sin ubicación declarada en sus perfiles.
Pregunta 4: ¿Existieron cuentas bots que publicaron múltiples tweets el mismo segundo?
Se observó la presencia de cuentas que publicaron múltiples tweets durante el mismo segundo. Si bien este es un comportamiento atípico, NO implica que la cuenta sea bot, o que se encuentre automatizada.
Este comportamiento puede ser emulado sin necesidad de automatizar la cuenta. Se detectaron varios casos similares estudiando la red cyborg de Tuiteros de la Patria en Venezuela. Debido a la gran cantidad de retweets generados en muy poco tiempo por usuarios humanos y la ocurrencia ocasional de cortes de internet o pérdida de cobertura celular, es posible que los tweets que un usuario humano se encuentre retuiteando, no sean publicados inmediatamente en Twitter, sino que permanezcan en el buffer de publicación de la aplicación hasta que consiga señal celular o señal WiFi.
Esto fue comprobado con un experimento realizado el 17 de julio de 2021 entre miembros del Café Cazadores de Telegram. Dos cuentas publicaron de forma consecutiva tweets con las etiquetas #MemesDeGatos y #MemesDePerros, apagando la recepción de internet por WiFi y los datos móviles, retuiteando tweets existentes con estas etiquetas y posteriormente activando el internet.
Se lograron publicar 15 tweets con la etiqueta #MemesDeGatos en 3 segundos y 21 tweets con la etiqueta #MemesDePerros en 3 segundos:

Se observó la presencia de cuentas que publicaron múltiples tweets durante el mismo segundo. Si bien este es un comportamiento atípico, NO implica que la cuenta sea bot
Pregunta 5: ¿Alguna red de cuentas bot o similares a bot participó en la tendencia?
Como es de esperarse cuando existen tendencias de gran importancia regional, especialmente en el ámbito político, suelen involucrarse espontáneamente muchas redes muchas redes de cuentas anómalas (como bots), y equipos que trabajan de forma coordinada, entre los que se encuentran tanto redes de activistas, partidos políticos y comunidades de usuarios hiper-politizados que publican tweets desde cuentas personales, al igual que cuentas trolls.
Por lo general esto ocurre de forma espontánea. Aunque las cuentas de cada red opera de forma coordinada, no necesariamente existe una coordinación entre las diversas redes de cuentas anómalas, salas de retuiteo, troll-centers, militantes y activistas (estos dos últimos, legítimos) de toda Latinoamérica.
Por ello, identificar algunas cuentas anómalas interviniendo en etiquetas de importancia regional, no implica que exista una estrategia global para manipular la tendencia de forma coordinada y, en todo caso, los aportes en cantidad de tweets de estas redes de cuentas suele ser insignificante cuando se analizan tendencias con cantidades masivas de tweets, como #SOSCuba. De representar un aporte significativo de tweets, son redes relativamente fáciles de detectar.
Identificar algunas cuentas anómalas interviniendo en etiquetas de importancia regional, no implica que exista una estrategia global para manipular la tendencia de forma coordinada
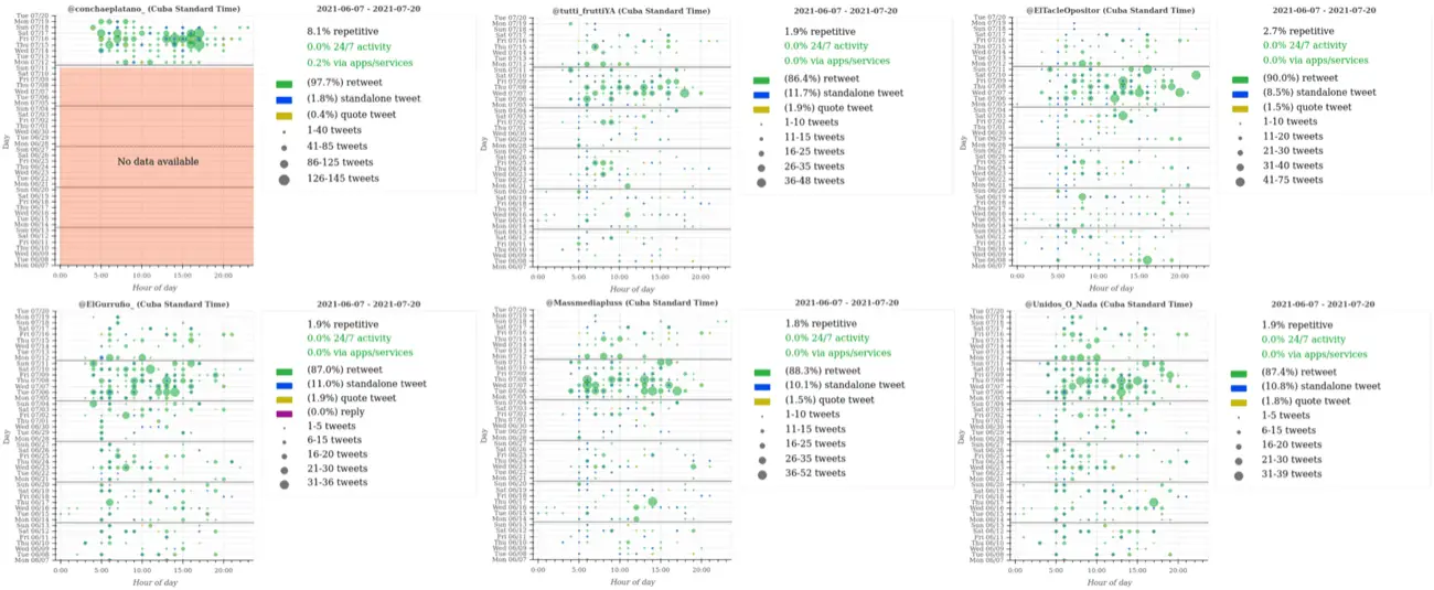
Por ejemplo, una red de seis cuentas aparentemente vinculadas, compuesta por: @conchaeplatano_ (una cuenta bot venezolana, que genera grandes cantidades de spam) y las cuentas @tutti_fruttiYA, @ElTacleOpositor, @ElGurrufío_, @Massmediapluss y @Unidos_O_Nada generó apenas 56 tweets con la etiqueta #SOSCuba (0,005% del total), contando tweets puros, retweets, menciones y citas.
La red amplificó una fotografía engañosa, tomada en Egipto, que otro usuario indicó de forma errónea que había sido tomada en La Habana, el día 11 de julio de 2021. Las seis cuentas hicieron retweet al mensaje casi simultáneamente, a las 7:06 pm hora Cuba:

Pero esta pequeña de red de cuentas bot NO fue creada para amplificar contenido relacionado con las protestas en Cuba.
Según los reportes de TruthNest, todas las cuentas mencionan tweets de Omar González, diputado venezolano, por lo que podrían ser una red encargada de amplificar el alcance del contenido que es generado por uno o más actores políticos venezolanos y accidentalmente aportaron en el conteo de tweets de la tendencia #SOSCuba, aunque en una medida casi insignificante. Muchos de los tweets de esta red tienen exactamente 6 likes y 6 retweets: todos realizados por las mismas 6 cuentas (ver imagen superior).
Revisando las cuentas de esta red en Allegedly, confirmamos que son cuentas bot: el patrón de publicación de tweets (puros) es idéntico en 5 de los seis casos. Todas las cuentas están conectadas a una cuenta maestra. Aunque según el reporte de Allegedly, los tweets de todas las cuentas se publican via el cliente de Twitter para Android, los patrones de publicación denotan un comportamiento semi-automatizado, similar a un estudio previo sobre cuentas que retuitean a Nicolás Maduro, que fue publicado en dos partes, en 2019 y 2020:

Otras cuentas con comportamiento similar a bot que generaron spam, han sido cerradas tras ser reportadas en Twitter. Por ejemplo, el operador de la cuenta @kisabel20092013, ya cerrada presumiblemente por generación de spam, ha creado una cuenta nueva a través de la cual sigue publicando grandes cantidades de tweets diarios, alrededor de 400 tweets diarios. Eso demuestra que, aunque la cuenta tiene comportamiento similar a bot, no necesariamente automatiza la totalidad de sus tweets, tal como ocurre con prácticamente la totalidad de las cuentas que forman parte de la red Tuiteros de La Patria en Venezuela:
Pregunta 6: ¿Existen redes de cuentas falsas con nombres de usuario tipo «matrícula» que participaron en la tendencia?
Se realizó una selección de cuentas con nombres de usuario tipo «matrícula» (usernames con formatos alfanuméricos tipo @NombreNúmero. Ejemplo: @Gerardo20149952, @Alejand80416310). Ocasionalmente, al detectar la creación de lotes de cuentas falsas, se pueden conseguir gran cantidad de cuentas con nombres de usuario tipo «matrícula«, tal como aparece en el listado de 6031 cuentas «Pornobots«, publicadas por Cazadores de Fake News en este artículo de febrero de 2021.
Sin embargo, en el presente caso, no se hallaron suficientes evidencias que comprobaran la creación de gran cantidad de cuentas falsas con nombres de usuario tipo «matrícula«, es decir, creadas en lotes y con nombres similares.
Se identificaron 4683 cuentas con nombres de usuario tipo «matrícula«, con una gran variedad de fechas de creación, ubicaciones, seguidores y cantidad de tweets generados. Conociendo que la mayor parte de las cuentas fueron creadas durante los meses de mayo, junio y julio de 2021, se decidió filtrar la muestra y estudiar a los tweets publicados por cuentas con nombres de usuario tipo «matrícula» que fueron creadas durante estos meses.
Se redujo la lista a 492 cuentas con nombre «matrícula«, creadas en mayo, junio y julio de 2021 y que al menos publicaran 5 tweets con la etiqueta #SOSCuba, un mínimo de tweets que justifiquen la creación de una nueva cuenta de Twitter para impulsar una campaña de astroturfing. Estas 492 cuentas generaron apenas 2120 tweets, 0,20% del total de tweets estudiados, una proporción insignificante:

No se hallaron suficientes evidencias que comprobaran la creación de gran cantidad de cuentas falsas con nombres de usuario tipo «matrícula«, es decir, creadas en lotes y con nombres similares
Capítulo 3. Difusión de noticias falsas: ¿quién es el responsable?
En días posteriores al posicionamiento internacional de la tendencia #SOSCuba en redes sociales, varios medios internacionales, representantes políticos en Cuba y fuera de la isla, atribuyeron la campaña digital a la acción de «miles de cuentas bots» recién creadas. En otros casos, se culpó a los Estados Unidos, sin mostrar evidencias, de ser quien creó cuentas falsas para amplificar las tendencias y distribuir noticias falsas sobre los sucesos en Cuba.
La narrativa falsa fue repetida en medios internacionales de gran alcance en la región, como la versión en español del medio estatal ruso, RT:

No es la primera vez que en Latinoamérica se difunden noticias falsas en el contexto de protestas masivas que afectan a alguno de sus países. La difusión de desinformación, que en este caso aparentemente afecta al régimen cubano, tampoco es suficiente razón para atribuir su creación y difusión a una nación hostil a Cuba.
De hecho, en ocasiones, ocurrre exactamente lo contrario: se difunde información errónea, rumores y desinformación con el fin de disminuir el efecto de un hecho histórico que pueda afectar negativamente la imagen de un país, una personalidad política o una organización, generándola precisamente quien pareciera ser la víctima. Hay evidencias de lo mencionado tan antiguas como del año 1930 y tan recientes como del año 2020.
Muchas de las noticias falsas difundidas en el contexto de las protestas de Cuba, comenzaron a circular a través de otras redes sociales diferentes a Twitter. En el caso de la fotografía engañosa tomada en Egipto, que se hizo pasar como tomada en el malecón de La Habana, hay evidencias de que había sido publicada en Facebook antes de la primera vez que fue publicada en Twitter.
Y en el peor de los casos, cuando la difusión de información errónea de este tipo inicia en WhatsApp, no existen técnicas o procedimientos para atribuir su autoría, mediante evidencias, a algún actor en particular. Seguramente, muchas de estas fotos falsas o engañosas comenzaron a ser difundidas de forma espontánea por la misma población (misinformation) y no por actores políticos, con la intención de generar daño a oponentes (disinformation).
Muchas de las noticias falsas difundidas en el contexto de las protestas de Cuba, comenzaron a circular a través de WhatsApp, no de Twitter. Por ello, no existen técnicas o procedimientos para atribuir su autoría, mediante evidencias, a algún actor en particular
De lo que sí existen evidencias, es que en el contexto de otros recientes ciclos de protestas sociales latinoamericanas, se ha difundido información errónea, indistintamente de la orientación política del gobierno de turno: en el estallido social de Chile (2020), durante el Paro Nacional de Colombia (2021), durante las elecciones de Ecuador y Perú en 2021, entre otros eventos de importancia regional.
Capítulo 4. Algunos datos adicionales
Las siguientes son gráficas que también ilustran características de la tendencia, de acuerdo al período estudiado:
- 83,68% de los tweets generados fueron retweets. Ver abajo, izquierda.
- 11,92% de las cuentas que publicaron tweets con la etiqueta #SOSCuba fueron creadas en 2021 y 14,41% en 2020, lo que representa poco más de un cuarto de las cuentas que usaron la etiqueta (26,33%). Ver abajo, derecha.

- Con respecto a la cantidad de tweets publicados, las cuentas creadas en 2019, 2020 y 2021 generaron 300.587 tweets, 28,7% del total de la muestra estudiada. Ver abajo, izquierda.
- Las cuentas creadas en julio, generaron un total de 17.795 tweets (1,70% de todos los tweets estudiados). Entre todos los tweets generados en julio, casi un cuarto fueron publicados por cuentas creadas el 10 y 11 de julio (1,03% de la muestra estudiada). Ver abajo, derecha.

- 57,02% de los tweets estudiados, fueron publicados con dispositivos con el cliente de Twitter para Android (supuestamente) y 26,36% con el cliente de Twitter para iPhone. Las aplicaciones oficiales de Twitter para Android, iOS y navegadores de escritorio abarcan más del 99% de los tweets estudiados. Ver abajo, izquierda.
- 69% de los tweets publicados por las cuentas creadas el 10 y 11, fueron retweets. Ver abajo a la derecha.

Cazadores de Fake News investiga cada caso mediante la búsqueda y el hallazgo de evidencias forenses digitales en fuentes abiertas. En algunos casos, se usan datos no disponibles en fuentes abiertas con el objetivo de reorientar las investigaciones o recolectar más evidencias.
Ver metodología




